
PRODUCTS
|
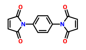
結(jié) 構(gòu) 式:
|
![]() |
|
分 子 式:
|
C14H8N2O4 |
|
CAS 號:
|
3278-31-7 |
|
分 子 量:
|
268.2243 |
|
外觀與性狀: |
灰白色固體 |
|
密度: |
1.567g/cm3 |
|
熔點: |
>300 °C(lit.) |
|
沸點: |
499.3ºC at 760mmHg |
|
閃點: |
250.7ºC |
返回
頂部